2022年4月15日,今年会教师张晓华博士以第一作者兼通讯作者身份在工程技术领域TOP期刊《Fuel》(JCR一区,IF=6.609)发表题为“Critical role of solvent extraction sequence in the fractional separation of alkaline lignin”的论文,江西农业大学为第一署名单位。
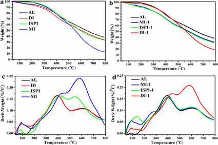
木质素是生物质中第二丰富的生物聚合物,被认为是生产可再生生物材料和芳香族化合物的极具吸引力的原料。由于木质素大分子结构的复杂性与刚性,目前分馏技术常用作于获取纯度高、分子量分布窄、结构明确的木质素馏分的一种手段,这对不同特征的木质素馏分适用于特定应用中的发展具有重要意义。其中,有机溶剂连续提取是一种极具应用前景的分馏方法,可以实现对木质素的摩尔质量和化学特性的裁剪。然而,目前关于溶剂提取次序如何影响分离后获得的馏分的摩尔质量、理化特性及分子结构的深入研究鲜有报道。
鉴于此,本论文通过采用逐步增大和降低甲醇、异丙醇和二氯甲烷这三种溶剂的汉森溶解度常数(HSP值)的策略进行次序提取碱木质素。该工作不仅揭示了提取次序在分级分离中所扮演的角色,而且为裁剪木质素大分子以获得具有可预测性质或潜在多功能性的材料提供了可能,有助于实现木质素的分级利用。




原文链接:https://doi.org/10.1016/j.fuel.2022.124268